佛手

目录号: PC81759 纯度: 对照药材
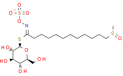
CAS No. :186037-18-3
商品编号 规格 价格 会员价 是否有货 数量
PC81759-1g 1g ¥110.00 请登录
Medlife所售产品仅用于科学研究(非临床研究),非药品不可食用,不可用于人体或动物的临床诊断和治疗,我们不为个人提供产品及服务。产品COA等资料,可至下方“质量控制”中下载。
*注意事项:下单时请联系销售核实产品价格及货期,避免后续产生不便,感谢支持!
中文名称
佛手
英文名称
Bergarmot
英文别名
186037-18-3
Cas No.
186037-18-3
分子式
C19H36NO10S3K
分子量
573.78
搜索质检报告(COA)

1:一般建议:溶解度为Medlife测试数据,可能与文献描述存在差异。这是由于生产工艺和批次不同产生的正常现象。为了使其更好的溶解,请用37℃加热试管并在超声波水浴中震动片刻。不同批次产品溶解度各有差异,仅做参考,具体以实验方案为准。

2:储存条件:粉末-20°C一般情况可以保存3年,溶于溶剂-80°C一般情况可以保存1年。不同产品及不同批次产品可能存在差异,请细致阅读产品信息,并辅助参考相关文献描述。

The molarity calculator equation
Mass (g) = Concentration (mol/L) × Volume (L) × Molecular Weight (g/mol)
The dilution calculator equation
Concentration (start) × Volume (start) = Concentration (final) × Volume (final)
This equation is commonly abbreviated as: C1V1 = C2V2